익산자이 그랜드파크 평면도 분양가 옵션 총정리
익산에 랜드마크로 자리 잡을 것으로 예상되는 익산자이 그랜드파크 평면도 분양가 옵션 총정리해보도록 하겠습니다. 청약 준비 중이신 분들이라면 끝까지 확인해주시기 바랍니다.
GS건설, ‘익산자이 그랜드파크’ 1431가구 일반분양
GS건설이 전북 익산시 마동 산 41번지 일원에 들어서는 ‘익산자이 그랜드파크’의 본격 분양에 나선다. 지하 3층~지상 최대 38층, 9개 동, 전용면적 84~172㎡, 총…
sports.donga.com
익산자이 그랜드파크
전라북도 익산시 마동 산41번지 일원에 신축 건설 예정인 익산자이 그랜드파크 아파트는 지하 3층, 지상 38층, 9개 동 규모로 총 1431세대 대단지 아파트로 구성되어 있습니다. 주차 대수는 2,210대로 여유 있는 주차공간 확보로 인해 생활의 편의성 확보에 큰 도움이 될 것으로 예상되고 있습니다.

총 8가지 타입이 존재하는 익산자이 그랜트파크 아파트의 타입별 공급 물량은 다음과 같습니다.
- 84A타입 : 특별공급 329세대, 일반공급 297세대
- 84B타입 : 특별공급 123세대, 일반공급 110세대
- 84C타입 : 특별공급 80세대, 일반공급 70세대
- 91타입 : 특별공급 18세대, 일반공급 119세대
- 106타입 : 특별공급 18세대, 일반공급 120세대
- 122타입 : 특별공급 18세대, 일반공급 122세대
- 126P타입 : 특별공급 0세대, 일반공급 5세대
- 172P타입 : 특별공급 0세대, 일반공급 2세대
규제 사항


전라북도 익산시는 비투기과열지구 및 비청약과열지역으로서 당첨자 및 세대에 속한 자는 당첨 일로부터 향후 5년간 투기과열지구 및 청약과열지역에서 공급하는 주택의 1순위 청약접수가 제한됩니다.
2021 투기과열지구 현황 및 규제 사항
청약 진행하시다 보면 조정대상지역과 투기과열지구에 대해서 헷갈리는 분들 계신데요 2021 투기과열지구 현황 및 규제 사항 알아보고 자세한 내용 살펴보도록 하겠습니다. 규제지역은 시기마
blog.nwbliss.co.kr
익산자이 그랜트파크 아파트는 전매제한 기간이 없습니다. 단 계약금(10%) 완납 이후에 전매가 가능하니 참고하시기 바랍니다.
입지 환경

KTX와 SRT를 이용하기 편리한 익산역에서 멀지 않은 자리에 위치한 익산자이 그랜트파크 아파트는 다양한 생활 인프라를 그대로 이용할 수 있기에 그 입지 환경은 아주 우수하다고 볼 수 있는데요 익산 자유무역지역, 익산 제1산업단지 등 직주근접을 꿈꾸시는 분들에게 좋은 입지 환경을 제공할 것으로 보입니다.
단지 주변 학군 형성도 잘되어 있고 멀지 않은 곳에 다양한 생태공원도 위치해 있기 때문에 편리한 생활과 힐링라이프, 가까운 직장까지 다양한 니즈를 충족시켜줄 수 있을 것으로 보이는 입지 조건입니다.
단지 배치도 및 동호수 배치도

대부분의 단지가 남동향 또는 남서향으로 배치되어 있어서 채광이 아주 우수할 것으로 예상되며 주차장을 모두 지하화 해서 공원처럼 꾸며진 단지 설계도를 볼 수가 있습니다.



각 타입별로 배치되어 있는 동호수 배치도를 살펴보면 84A타입이 가장 많은 분양세대수를 자랑하는 만큼 골고루 분포되어 있는 모습을 볼수 있습니다. 자신이 원하는 타입이 어느 동에 배치되어 있는지 미리 살펴보신다면 청약 진행하실 때 좀 더 선택을 용이하게 진행하실 수 있을 것이라 판단됩니다.
커뮤니티 시설


사우나, 골프연습장, 스크린골프, 피트니스 클럽, 1인 독서실, 작은 도서관 등 다양한 커뮤니티 시설이 계획되어 있어서 입주민은 멀리 나가지 않아도 단지 내에서 다양한 활동을 즐기실 수 있을 것으로 보입니다.
타입별 평면도









4bay 구조 부터 복층 구조, 팬트 하우스 까지 다양한 타입별 평면도를 가지고 있는 익산자이 그랜드파크 아파트는 공간을 효율적으로 사용할수 있는 설계로 편리한 생활이 가능할것으로 보이고 다양한 수납공간 확보로 인하여 물건 수납에도 스트레스 없이 거주 할수 있기 때문에 인기가 높을 것으로 예상되고 있습니다.
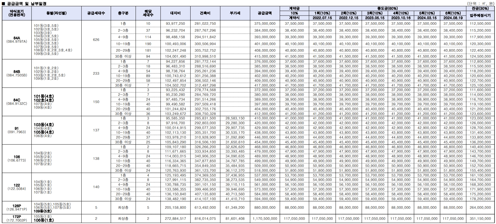
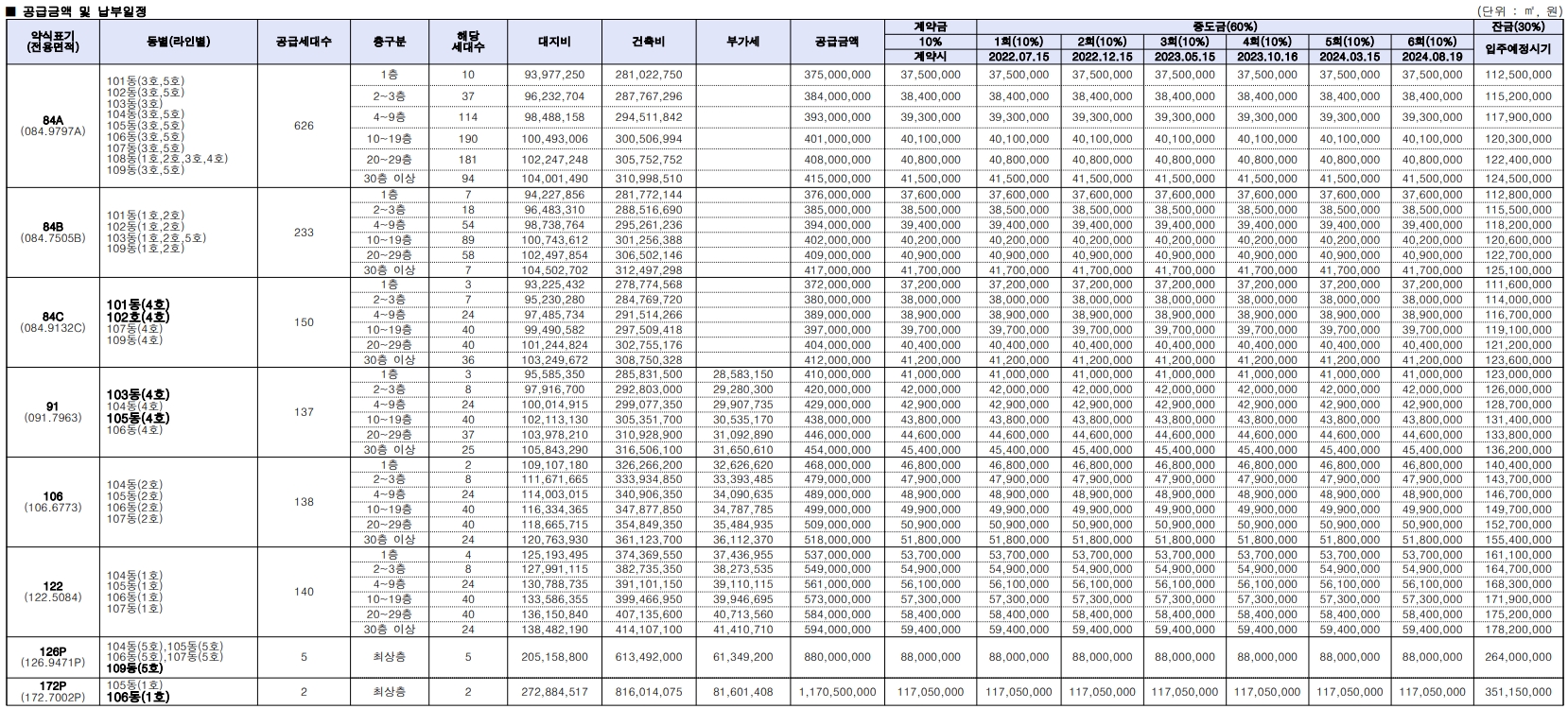
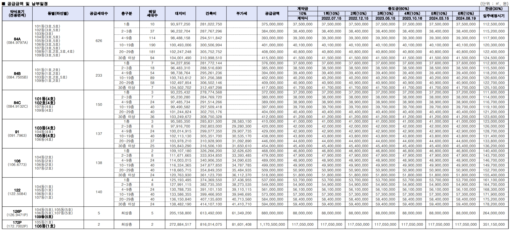
타입별 분양가 및 발코니 확장 비용

익산자이 그랜드파크 아파트의 각 타입별 분양가 최저 수준과 최고 수준은 다음과 같습니다.
- 84A타입 : 375,000,000원 ~ 415,000,000원
- 84B타입 : 376,000,000원 ~ 417,000,000원
- 84C타입 : 372,000,000원 ~ 412,000,000원
- 91타입 : 410,000,000원 ~ 454,000,000원
- 106타입 : 468,000,000원 ~ 518,000,000원
- 122타입 : 537,000,000원 ~ 594,000,000원
- 126P타입 : 880,000,000원
- 172P타입 : 1,170,500,000원

발코니 확장 비용은 같은 크기라도 발코니 크기에 따라서 차이점이 발생할 수 있으니 각 타입별 발코니 확장 공사 비용도 고려하시기 바랍니다.
주변 시세

익산자이 그랜드파크 아파트가 위치한 전라북도 익산시 마동의 다른 아파트 시세를 살펴 보신 후 충분히 비교해보시기 바랍니다.
부동산 실거래가 조회 사이트 2가지
부동산 실거래가에 관심을 갖고 계신 분들이 상당히 많은데요 이는 최근 부동산 가격이 많이 오르면서 많은 분들이 부동산 가격에 민감하게 반응하기 때문인데요 간편하게 부동산 실거래 조회
blog.nwbliss.co.kr
옵션표



시스템 에어컨, 공기청정 시스템, 가전 옵션, 가구 및 마감 옵션 등 다양한 옵션을 선택할 수 있는 익산자이 그랜드파크 아파트의 옵션 표를 참고하셔서 옵션 비용까지 고려한 분양가 생각하시면서 청양 준비하시면 좀 더 수월하게 진행하실 수 있을 것이라 생각됩니다.
분양 일정

2021년 12월 17일 그랜드 오픈을 시작으로 본격적인 청약일정에 돌입한 익산자이 그랜드파크 아파트의 세부 일정은 다음과 같습니다.
- 특별공급 : 12월 27일
- 1순위 청약 : 12월 28일
- 2순위 청약 : 12월 29일
- 당첨자 발표 : 2022년 1월 4일
- 서류접수 : 2022년 1월 12일 ~ 19일
- 정당 계약 : 2022년 1월 20일 ~ 27일
이편한세상 검단 어반센트로 청약 정보
오늘은 이편한세상 검단 어반센트로 청약 정보 알아보도록 하겠습니다. 디엘이엔씨 주식회사가 시공 및 시행을 맡은 이편한세상 검단 어반센트로 청약에 관심 있으신 분들은 참고 하셔서 좋은
blog.nwbliss.co.kr
'세상과의 소통' 카테고리의 다른 글
| 청라 호반베르디움 6차 아파트 청약 정보 (0) | 2021.12.27 |
|---|---|
| 이편한세상 신곡 파크프라임 청약 정보 (0) | 2021.12.26 |
| 이편한세상 검단 어반센트로 청약 정보 (0) | 2021.12.24 |
| 트리마제 양산 1단지 2단지 아파트 분양가 평면도 옵션 (0) | 2021.08.13 |
| 2021 투기과열지구 현황 및 규제 사항 (0) | 2021.08.04 |
댓글