동해 프라우드 스위첸 아파트 청약 정보
강원도 동해시에 들어서는 동해 프라우드 스위첸 아파트 청약 정보 알려드리겠습니다. KTX 동해역 이용으로 서울까지 접근성 좋고 동해 IC와 가까운 곳에 위치하여 많은 분들이 청약에 대한 기대감 높이고 있는데요 자세한 내용 알아보도록 하겠습니다.

동해 프라우드 스위첸
강원도 동해시 동회동 260-9 외 28필지 일원에 건설 예정인 동해 프라우드 스위첸 아파트는 지하 2층 에서 지상 25층 규모로 총 431세대가 분양 예정입니다.
입지조건
KTX 동해역과 가깝게 있는 단지여서 서울로의 접근성이 좋아서 많은 분들에게 인기 있을 것이라 생각이 되는데요 동해고속도로와 연결되는 동해 IC 역시 가까워 교통의 요지라고 할 수가 있겠습니다.

단지 주변 초, 중, 고등학고 및 동해시립 북삼도서관과 학원 밀집지역으로 자녀 교육에 관심 많은 요즘 시대에 가장 좋은 입지 조건을 갖추었다고 볼 수 있는데요 상업과 주거 및 공원까지 삼박자가 어우러져 있는 동해 프라우드 스위첸 입지 환경 살펴볼 수가 있었습니다.
단지 및 동호수 배치도


동해 프라우드 스위첸 단지 배치는 채광이 모든 세대에 최대한 많이 비칠 수 있게 설계한 모습 볼 수가 있고요 단지 위쪽으로 주차 공간과 도로 연결이 잘 되어 있어서 이동시 불편함을 최소화한 것을 볼 수가 있습니다. 다양한 타입으로 배치되어 있는 동호수는 어느 한 타입으로 몰려 있지 않고 균형 잡힌 모습을 볼 수가 있었는데요 각각 타입별 평면도 살펴보도록 하겠습니다.
평면도
동해 프라우드 스위첸은 총 8가지 타입이 존재하는데요 신혼부부부터 대가족까지 다양한 니즈를 충족시켜 줄 수 있기 때문에 많은 분들이 주목하고 있는 이유인 것 같습니다.

가장 작은 사이즈인 50㎡은 방 2개 화장실 하나 구조이지만 안방에 드레스룸과 주방 쪽 팬트리 공간 및 다용도실 연결로 인해서 공간 활용이 너무나 깔끔하게 구성되어 있는것이 특징입니다. 3 Bay로 구성되어 있는 공간은 작은 사이즈이지만 넓게 보이는 효과까지 얻을 수가 있습니다.

방 3개 화장실 2개인 59㎡ 타입 역시 공간 활용도 우수해서 다양한 인테리어 볼 수가 있을 것으로 예상되고 안방에 부부욕실 존재만으로도 활용하기에 너무나 좋은 공간 형성되어 있는 것을 느낄 수가 있었습니다.

안방 드레스룸이 인상적인 62㎡ 타입은 방 3개 화장실 2개로 구성되어 있어서 3인 이상 가족이나 신혼부부 거주하시면 방을 업무공간이나 공부방으로 효과적으로 사용할 수 있다는 장점 엿볼 수가 있었습니다. 대부분 타입에서 주방 옆 다용도실 위치되게 설계하여 공간 활용을 많이 신경 쓴 설계 확인할 수가 있었습니다.



가장 많은 세대가 배정되어 있는 84㎡는 A, B, C 타입으로 나눠서 볼 수 있는데요 C타입을 제외하고는 모두 4 Bay 구조로 개방감 뛰어나고 모든 방에 채광을 어느 정도 확보할 수가 있는 모습을 볼 수가 있습니다. 방 4개 화장실 2개 구조이지만 일부 타입에서는 방 한 개를 다이닝룸 크기로 줄이고 주방을 넓게 사용할 수 있는 옵션도 있으니 잘 확인하셔서 청약에 임하시기 바랍니다.

가족이 많다면 98㎡ 타입이 대안이 될 수가 있는데요 넓은 방 4개와 화장실 2개로 구성되어 있고 4 Bay 구조에 주방도 기본적으로 넓게 배치가 되어 있어서 넓은 집을 원하시는 분들에게 인기가 많은 것으로 예상이 됩니다. 안방에 부부욕실과 드레스룸도 크게 배치되어 있는 것이 특징이고 주부님들이 좋아하는 디귿자 주방은 공간 효율까지 생각한 설계로 보입니다.

단 1세대 밖에 없는 팬트하우스라 불릴 수 있는 166㎡ 타입은 테라스까지 존재하기 때문에 모든 사람들의 로망이라고 해도 과언이 아닐 정도의 위용을 보여주는데요 방 4개 화장실 2개의 공간과 응접실까지 완벽하고 현관이 2개 있다는 것이 특징 중에 하나라고 볼 수 있습니다. 사이즈가 상당하다는 것 역시 특징 중에 하나이 군요
옵션

동해 프라우드 스위첸 유상 옵션 내역은 위에서 참고하실 수가 있는데요 확장을 선택했을 때만 선택할 수 있는 옵션이 있으니 청약 준비 중이신 분들은 옵션에 대한 고려도 충분히 해보셔야 합니다. 옵션의 선택에 따라서 초기 분양가가 달라지기 때문인데요 기본 분양가는 아래에서 알아보도록 하겠습니다.
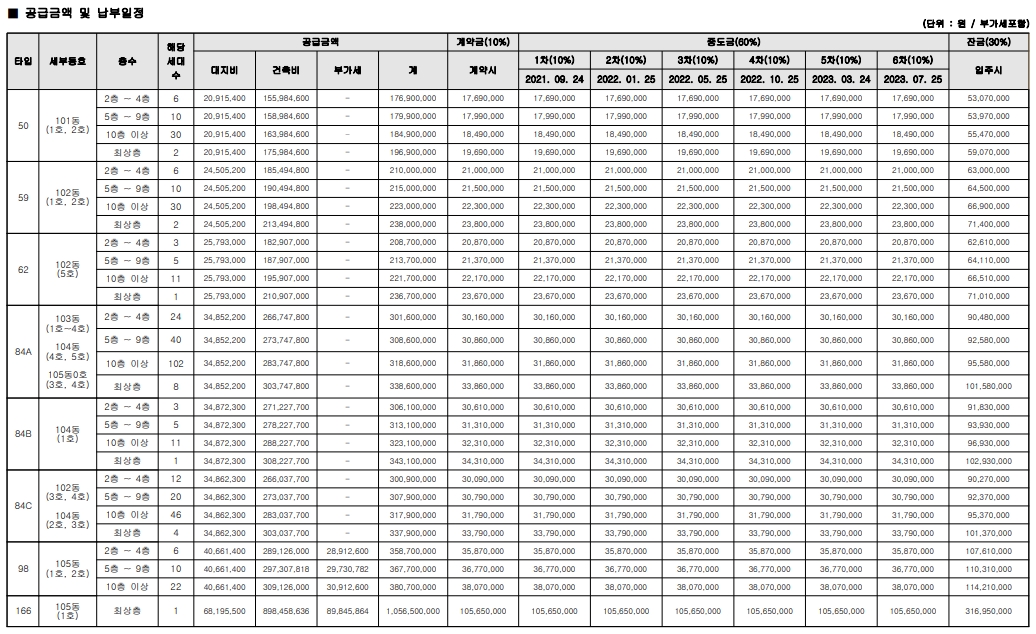
분양가

동해 프라우드 스위첸 분양가는 타입별 층별로 다를 수가 있는데요 크게 차이 나지는 않지만 각각 예산에 따라서 달라질 수 있는 사항이기 때문에 한눈에 보기 좋게 정리해보도록 하겠습니다.
- 50㎡ : 176,900,000 ~ 196,900,000
- 59㎡ : 210,000,000 ~ 238,000,000
- 62㎡ : 208,700,000 ~ 236,700,000
- 84㎡A : 301,600,000 ~ 338,600,000
- 84㎡B : 306,100,000 ~ 343,100,000
- 84㎡C : 300,900,000 ~ 337,900,000
- 98㎡ : 358,700,000 ~ 380,700,000
- 166㎡ : 1,056,500,000
다른 타입에 비해서 유일하게 1세대 존재하는 166㎡ 타입의 가격이 눈에 띄는데요 대체적으로 높지 않은 분양가 덕분에 많은 분들에게 인기가 있을 것으로 예상이 됩니다.
청약일정

5월 17일 특별공급으로 동해 프라우드 스위첸 청약일정이 시작되는데요 1순위 청약은 18일, 2순위 청약은 20일로 예정이 되어 있고 당첨자 발표는 5월 25일부터 26일까지 이니 잘 확인하시고 당첨되신 분들은 5월 28일부터 6월 2일 까지 사전 서류 접수 기간을 거쳐 6월 7일부터 계약이 시작되니 청약일정 잘 확인하시기 바랍니다.
청약 관련 인기 게시글
2021.05.04 - [세상과의 소통] - 동탄 대방 디에트르 분양일정 분양가
동탄 대방 디에트르 분양일정 분양가
동탄2 택지개발지구에 새롭게 들어서는 동탄 대방 디에트르 분양일정 및 분양가 공개되었는데요 많은 분들의 관심을 받고 있는 동탄2신도시 답게 그 열기가 벌써 부터 뜨겁습니다. 동탄역 디에
blog.nwbliss.co.kr
2021.05.09 - [분류 전체보기] - 세운 푸르지오 헤리시티 아파트 분양가 청약일정
세운 푸르지오 헤리시티 아파트 분양가 청약일정
서울 중구 세운지구에 건설되는 소형 주상복합 아파트 세운 푸르지오 헤리시티 청약일정이 코앞으로 다가왔는데요 서울 중심에 있는 브랜드 아파트라서 벌써부터 많은 사람들의 기대를 한 몸
blog.nwbliss.co.kr
2021.05.05 - [세상과의 소통] - 한화 포레나 안산 고잔 분양 정보
한화 포레나 안산 고잔 분양 정보
경기도 안산시 단원구 고잔동 631번지 일원에 들어서는 한화 포레나 안산 고잔 분양 정보 궁금해 하시는 분들 많이 계시는데요 안산에 들어서는 새로운 아파트로 기존에 있었던 안산의 인프라와
blog.nwbliss.co.kr
'세상과의 소통' 카테고리의 다른 글
| 봉담 자이 라피네 분양가 청약 일정 (0) | 2021.05.14 |
|---|---|
| 두산위브더제니스 양산 분양일정 분양가 (0) | 2021.05.13 |
| 조정지역 이란 (0) | 2021.05.10 |
| 평택역 경남아너스빌 디아트 분양정보 청약일정 분양가 (0) | 2021.05.07 |
| 한화 포레나 안산 고잔 분양 정보 (0) | 2021.05.05 |
댓글